Prof. Reinhard Bachofen
CV Reinhard Bachofen
|
1953 – 1960 |
Biology studies at the University of Zürich |
|
1957 |
Teaching certificate for Secondary Schools I |
|
1960 |
Ph.D. in Plant Biology/Limnology |
|
1960-1962 |
First assistant Institute of General Botany University of Zürich |
|
1962-1964 |
Researcher at the University of California Berkeley (USA) |
|
1965 - 1969 |
Assistant professor, Institute of General Botany University of Zürich |
|
1969 - 1976 |
Associate professor, Institute of General Botany University of Zürich |
|
1976 - 1999 |
Full professor, Institute of Plant- and Microbial Biology, University of Zürich |
|
1999 - today |
Various environmental projects and courses with the University of Tirana (Albania) |
Research
1. Role of syringolin A in the interaction of Pseudomonas syringae pv. syringae with plants
Syringolin A covalently bound to the N-terminal Threonine (T1) of the catalytic beta-5 yeast proteasome subunit
Syringolin A is a small peptide derivative that is secreted by the plant pathogenic bacterium Pseudomonas syringae pv. syringae in planta. We became interested in this compound because it induced programmed cell death of cells colonized by the powdery mildew fungal pathogen in wheat and Arabidopsis (1). The results of transcript profiling experiments in Arabidopsis and similar experiments in wheat (2) led to the hypothesis that the host proteasome might be the target. Testing this hypothesis revealed that syringolin A irreversibly inhibits all three catalytic activieties of the eukaryotic proteasome by a novel mechanism (3). By producing syringolin-negative muitants we also showed that that syringolin A acts a virulence factor in the interaction of the bacterium with its host plant Phaseolus vulgaris (bean). As the proteasome is central in many regulatory processes, including ones that are mediated by hormones such as auxin and jasmonic acid, it is not trivial to elucidate how proteasome inhibition increases virulence. As P. syringae pv. syringae does not proliferate on Arabidopsis thaliana, Nicotiana benthamiana is used as a model host plant. In this system we try to elucidate how proteasome inhibition leads to increased virulence.
(1) Wäspi, U., Schweizer, P., and Dudler, R. (2001). Syringolin reprograms wheat to undergo hypersensitive cell death in a compatible interaction with powdery mildew. Plant Cell 13, 153-161.
(2) Michel, K., Abderhalden, O., Bruggmann, R., and Dudler, R. (2006) Transcriptional changes in powdery mildew infected wheat and Arabidopsis leaves undergoing syringolin-triggered hypersensitive cell death at infection sites. Plant Mol. Biol. 62, 561-578.
(3) Groll, M., Schellenberg, B., Bachmann, A. S., Archer, C. R., Huber, R., Powell, T. K., Lindow, S., Kaiser, M., and Dudler, R. (2008). A plant pathogen virulence factor inhibits the eukaryotic proteasome by a novel mechanism. Nature 452, 755-758.
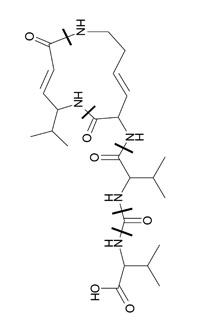
2. Function and occurrence of syrbactins
Structure of glidobactin A (Oka et al., J. Antibiot. 41, 1338-1350 (1988).
Syringolin A is a virulence factor secreted by the plant pathogen Pseudomonas syringae pv. syringae that irreversibly inhibits the eukaryotic proteasome by novel mechanism. Syringolin A is covalently attached to the active-site threonine of all three catalytic beta-subunits of the proteasome via opening of a double bond contained in the twelve-membered ring structure of syringolin A (1). We recently showed that glidobactin A, the only known molecule with a similar structure, is also an irreversible proteasome inhibitor that acts by the same mechanism (1). Thus, these two compounds constitute a novel family of proteasome inhibitors we dubbed syrbactins. Proteasome inhibitors are a new class of anti-cancer agents and have great medical potential. Indeed, glidobactin A was reported in the literature to have anti-tumor activity in a mouse model (Oka et al., J. Antibiot. 41, 1338-1350 (1988)), and we recently showed that syringolin A induces apoptosis and inhibits cell proliferation in human neuroblastoma and ovarian cancer cells (2). The sequence and architecture of the syringolin A synthetase genes we cloned earlier allowed the formulation of a syringolin A biosynthesis model (3) that in turn led to the successful cloning of the glidobactin A biosynthesis genes from a novel species belonging to the Burkholderiales that have a homologous structure and architeture (4). Searching through the more that 900 completely sequenced bacterial genomes identified a small but intriguing group of bacteria that share similar gene clusters: Burkholderia pseudomallei (a dangerous human pathogen and causal agent of melioidosis), Burkholderia oklahomensis (a human pathogen), Photorhabdus luminescens (an insect pathogen) and Photorhabdus asymbiotica (a human pathogen). Thus, it is hypothesized that these organisms are able to synthesize syrbactins. We are currently trying to isolate such a syrbactin from P. luminescens and explore its biochemical and biological function.
(1) Groll, M., Schellenberg, B., Bachmann, A. S., Archer, C. R., Huber, R., Powell, T. K., Lindow, S., Kaiser, M., and Dudler, R. (2008). A plant pathogen virulence factor inhibits the eukaryotic proteasome by a novel mechanism. Nature 452, 755-758.
(2) Coleman, C.S., Rocetes, J. P., Park, D.J., Wallick, C. J., Warn-Cramer, B. J., Michel, K., Dudler, R., and Bachmann, A. S. (2006) Syringolin A, a new plant elicitor from the phytopathogenic bacterium Pseudomonas syringae pv. syringae, inhibits the proliferation of neuroblastoma and ovarian cancer cells and induces apoptosis. Cell Prolif. 39, 599-609.
(3) Amrein, H., Makart, S., Granado, J., Shakya, R., Schneider-Pokorny, J., and Dudler, R. (2004). Functional analysis of genes involved in the synthesis of syringolin A by Pseudomonas syringae pv. syringae B301D-R. Molec. Plant-Microbe Interact. 17, 90-97.
(4) Schellenberg, B., Bigler, L., and Dudler R. (2007). Identification of genes involved in the biosynthesis of the cytotoxic compound glidobactin from a soil bacterium. Environ. Microbiol. 9, 1640-1650.
3. Biosynthesis and regulation of syringolin and syringolin-like molecules
Structure of syringolin A
Syringolins constitute a family of peptide derivatives (syringolin A to syringolin F) secreted by the plant pathogen Pseudomonas syringae pv. syringae in planta (1,2). Recently, we identified syringolin A, the major variant of the family, to be a virulence factor that inhibits the eukaryotic proteasome by a novel mechanism (3). Syringolin A consists of a tripeptide, whereby two non-proteinogenic amino acids form a 12-membered ring structure. The tripeptide is N-terminally linked to the amino group of a fourth amino acid by a very unusual ureido group (1). We successfully cloned the genes encoding the syringolin synthetase, a mixed non-ribosomal peptide synthetse/polyketide synthetase. This allowed the formulation of a biosynthesis model that explains al molecular features of syringolin A with the exception of the ureido group (4). Currently we are completing experiments aiming at the elucidation of the regulation of the syringolin A biosynthesis gene cluster.
(1) Wäspi, U., Blanc, D., Winkler, T., Rüedi, P., and Dudler, R. (1998a). Syringolin, a novel peptide elicitor from Pseudomonas syringae pv. syringae that induces resistance to Pyricularia oryzae in rice. Molec. Plant-Microbe Interact. 11, 727-733.
(2) Wäspi, U., Hassa, P., Staempfli, A., Molleyres, L.-P., Winkler, T., and Dudler, R. (1999). Identification and structure of a family of syringolin variants: Unusual cyclic peptides from Pseudomonas syringae pv. syringae that elicit defense responses in rice. Microbiol. Res. 154, 1-5.
(3) Groll, M., Schellenberg, B., Bachmann, A. S., Archer, C. R., Huber, R., Powell, T. K., Lindow, S., Kaiser, M., and Dudler, R. (2008). A plant pathogen virulence factor inhibits the eukaryotic proteasome by a novel mechanism. Nature 452, 755-758.
(4) Amrein, H., Makart, S., Granado, J., Shakya, R., Schneider-Pokorny, J., and Dudler, R. (2004). Functional analysis of genes involved in the synthesis of syringolin A by Pseudomonas syringae pv. syringae B301D-R. Molec. Plant-Microbe Interact. 17, 90-97.
ZORA Publication List
Download Options
Publications
-
Drought stress, water table and photosynthetic activity of peat moss measured by fast fluorescence in alpine peatlands Trends in Photochemistry & Photobiology, 21, 41–54.
-
Photosynthetic activity of the lichen Xanthoria elegans in relation to the daily course of temperature and humidity, a field study in the Piora valley, Ticino, Switzerland In R. Pedruzzi & F. Bianconi (Eds.), Scienze alpine, la centralità di piora e del san gottardo (No. 8; pp. 73–84). Edizioni Centro Biologia Alpina di Piora. http://www.cadagno.ch/downdoc.php?id_doc=207&lng=1&rif=99f1d9ece1
-
The diversity of ferns and lycopods in Val Piora and measurements of ecological and physiological indicators on two widely distributed fern species at two different sites In R. Pedruzzi & F. Bianconi (Eds.), Scienze alpine, la centralità di piora e del san gottardo (No. 8; pp. 53–72). Edizioni Centro Biologia Alpina di Piora. http://www.cadagno.ch/downdoc.php?id_doc=207&lng=1&rif=99f1d9ece1
-
Alpine ecology, plant biodiversity and photosynthetic performance of marker plants in a nitrogen gradient induced by Alnus bushes BMC Ecology, 20, 165. https://doi.org/10.1186/s12898-020-00292-9
-
Induction of stress proteins in the phototrophic bacterium Rhodobacter sphaeroides FEMS Microbiology Letters, 153(1):173-180.
-
Bacterial diversity and community composition in the chemocline of the meromictic alpine Lake Cadagno as revealed by 16S rDNA analysis FEMS Microbiology Ecology, 31(2):173-182.
-
Microbial recovery of metals from solids FEMS Microbiology Reviews, 20(3-4):605-617.
-
Light environment and synthesis of bacteriochlorophyll by populations of Chromatium okenii under natural environmental conditions FEMS Microbiology Ecology, 21(1):1-9.
-
In situ stimulation of bacterial sulfate reduction in sulfate-limited freshwater lake sediments FEMS Microbiology Ecology, 7(1):21-31.
-
Carotenoid profiles in pigment-protein complexes of rhodospirillum rubrum Plant & Cell Physiology, 30, 497–504. https://doi.org/10.1093/oxfordjournals.pcp.a077768
-
Influence of temperature and pH on the growth of the thermophilic cyanobacterium mastigocladus laminosus in continuous culture Plant & Cell Physiology, 24(2):273-280.